
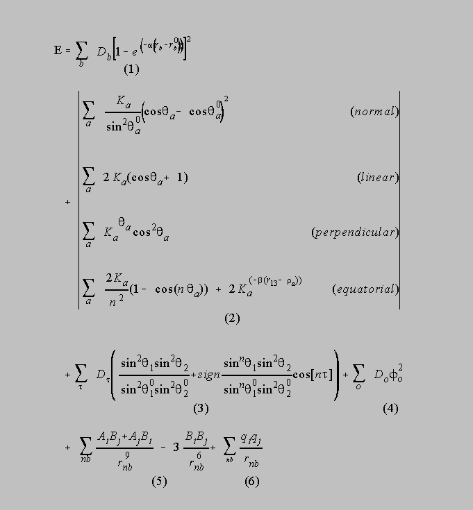
Gl. 4. Potentialfunktion des ESFF [38].
Db ...
Dissoziationsenergie der Bindung
a
... Anharmonizitätsparameter
rb0 ...
Bindungslängenreferenzwert
qa0 ...
Bindungswinkelreferenzwert
n ...
Symmetrieterm (Zähligkeit äquatorialer Ligandenanordnungen)
Ka ...
Kraftkonstante für Winkeldeformation
t ...
Torsionswinkel
qa0, qa0 ... Referenzwerte der assoziierten
Bindungswinkel
n ...
Torsionsperiodizität
Dt ...
Torsionskraftkonstante
f
... Wilson'scher Out-of-plane-Winkel
Df ...
Kraftkonstante der Out-of-plane-Winkeldeformation
Aij, Bij ...
van-der-Waals-Parameter
rnb ...
Entfernung zwischen nicht direkt gebundenen Atomen
qi, qj ...
Atompartialladungen der Atome i und j